聚乙二醇化人粒细胞刺激因子注射液(PEG-rhG-CSF)为长效制剂,可降低中性粒子减少症的发生并提高化疗安全性,综合注册研究结果,我们评估了其与重组人粒细胞集落刺激因子(rhG-CSF)比较的有效性和安全性,并探讨在多个化疗周期中的应用价值。
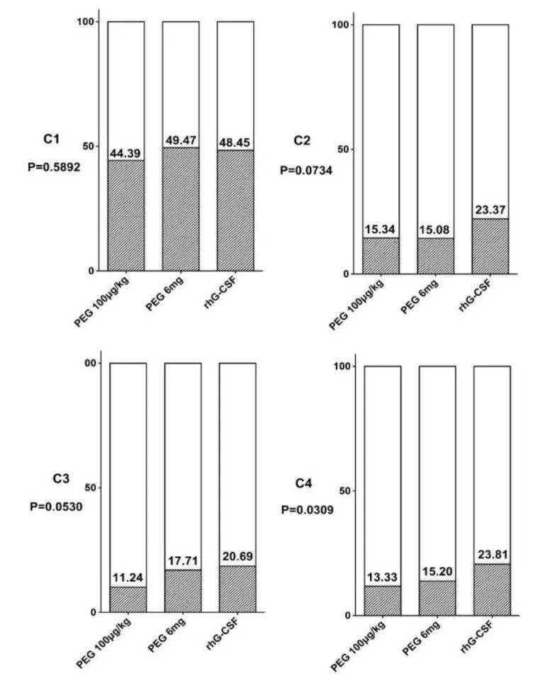
本研究为开放、随机、多中心的三期临床试验,纳入569名化疗后乳腺癌患者,患者随机分为三组,分别给予PEG-rhG-CSF 100µg/kg、PEG-rhG-CSF 6mg和rhG-CSF 5µg/kg /d。主要终点是第一周期3、4度中性粒细胞减少的发生率和持续时间,次要终点包括第2-4周期3、4度中性粒细胞减少的发生率和持续时间、发热性中性粒细胞减少的发生率和安全性。

每周期注射一次PEG-rhG-CSF 100µg/kg或6mg3、4度中性粒细胞减少的发生率和持续时间与每日注射rhG-CSF没有明显差异。有趣的是,在第二周期有了很大的差异,在第3、4周期差异变得越来越大,3、4度中性粒细胞减少的发生率和持续时间在第四周期都有了明显统计学差异。
不良反应总发生率分别为:PEG-rhG-CSF 100µg/kg组129例(68.98%)、PEG-rhG-CSF 6mg142例(75.53%)和rhG-CSF组160例(82.47%),与rhG-CSF组相比,PEG-rhG-CSF 100µg/kg或6mg组都有明显下降的趋势。3、4度药物相关不良反应事件发生率分别是PEG-rhG-CSF 100µg/kg组2 /187例(1.07%)、PEG-rhG-CSF 6mg 1/188例(0.53%)和rhG-CSF组8/194(4.12%)。尽管kaplan-meier分析结果无显著性差异,但转移的乳腺癌患者更倾向于PEG-rhG-CSF方案而非rhG-CSF方案。



接受多周期化疗的乳腺癌患者中,PEG-rhG-CSF(申力达®)是一种更方便、更安全的治疗药物,也是更有效的预防性措施。
打开“闪电新闻”看评论