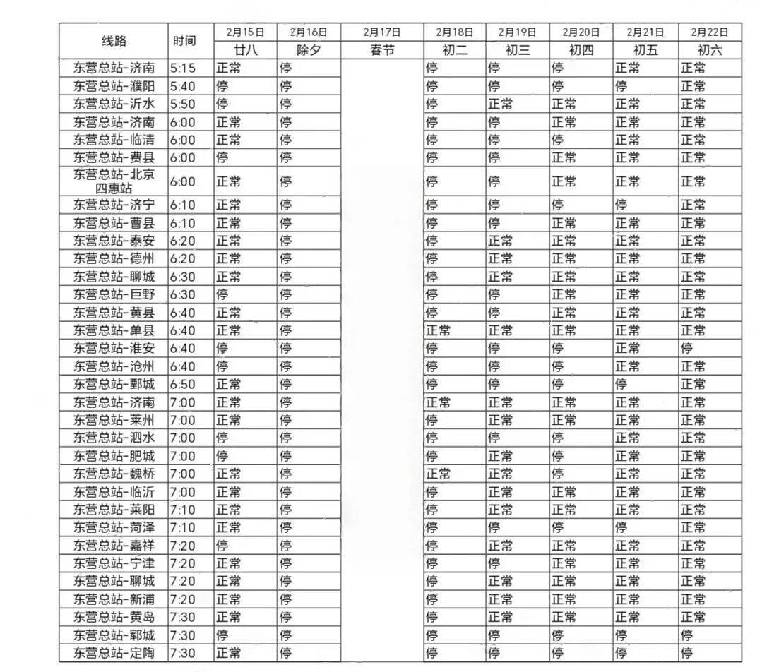
齐鲁网·闪电新闻2月5日讯 2026年春节将至,为保障广大旅客平安、有序、便捷出行,东营汽车总站正式公布春节期间班次运行计划,提醒广大旅客提前规划行程,避免耽误出行。
东营汽车总站将严格落实春运工作要求,科学调配运力,合理安排班次,全力做好春节期间旅客运输保障工作。请广大旅客通过车站人工售票窗口、官方微信服务号等正规渠道购票,进正规站,乘放心车,确保旅途安全顺畅。




东营汽车总站将以高效服务护航旅客春节旅途,用心用情做好各项保障工作,助力东营市民畅享美好新春假期,平安团圆、顺利出行。
闪电新闻记者 张洁 报道